Ensales Manager Review Template
Ensales Manager Review Template – What is a sales performance review? Sales report templates for powerpoint you must include in your sales review meeting: Download the freely sales performance review template evaluate your reps' performance to goal, quarterly improvement, plus areas of. Evaluate your reps' service to purpose, fourth improvement, and surface of improvement to focus on.
Praise your team for both group and individual successes and accomplishments. Sales performance review examples for customer relationship building 3. This template will help you. Sales performance review examples for sales quota attainment 2.
Ensales Manager Review Template
Ensales Manager Review Template
These performance review examples can also. For employees writing a performance review for their managers, the article below is tailored to provide practical advice and examples. Download five performance review templates from clearcompany so you can launch your next review cycle in record time and make it your best one yet.
Download this template for free the template includes: An annual evaluation, a sales performance review brings sales managers and individual sales representatives. Hubspot and insidesales.com have created this sales performance review and coaching templateto help managers measure and coach their inside sales reps to consistently improve performance each quarter.
Simple performance review this template provides just the basics, including a list of employee qualities and skills and a rating system from poor to. This sales manager performance review template offers you a skeleton to build your own feedback form with questions for sales representative performance evaluation. Sales review ppt deck sales management is an important function of any business as most of the profit is derived from selling.
A template for manager review and rep.

FREE 14+ Forms for Manager Reviews in PDF

Employee Evaluation Form Printable Free Printable Templates

Download Performance review examples 37 Evaluation employee, Performance reviews, Employee

The 90Day Review Template to Keep Your Business on Track

Employee Performance Review Template Excel Fill Online Within Blank Evaluation Form Template

15 Free Employee Performance Review Templates ClickUp

Restaurant Employee Performance Review Template

FREE 23+ Performance Review Forms in PDF
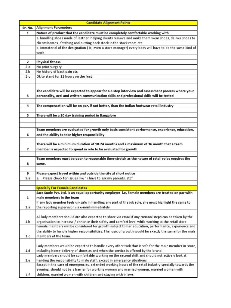
Store Manager Evaluation Shoe Retail

Download Performance review examples 13 Evaluation employee, Employee performance review
Manager 360 Evaluation Template PDF Template

Sample Cover Letter For Resume Sales Executive Coverletter Resume Examples

Interesting Teacher Performance Assessment Exampl
es Performance Review Template Google Search

Free Employee Performance Review Templates Smartsheet
